卡那单抗Ilaris(canakinumab)临床效果数据公布
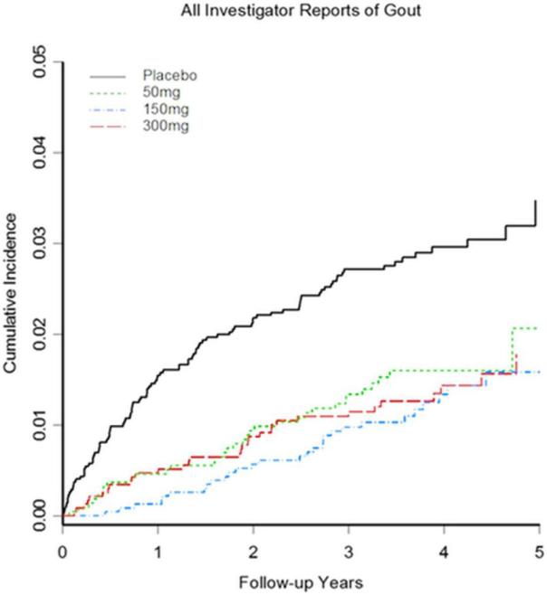
2018年欧洲风湿病学年会(EULAR2018)于6月13-16日在荷兰首都阿姆斯特丹举行。会上,诺华(Novartis)公布了抗炎药Ilaris(canakinumab)全球性大规模心血管III期临床研究CANTOS的回顾性二次分析数据。结果显示,与安慰剂相比,Ilaris将痛风发生率显著降低了一半以上,并且与基线血尿酸水平无关。

此次分析中,10061例患者基于基线血尿酸水平分为3个组:低(<6.9mg/dL)、中(6.9-8.9mg/dL)、高(≥9.0mg/dL)。分析显示,横跨所有基线血尿酸组,与安慰剂相比,Ilaris显著降低了痛风耀斑发生率,在低、中、高基线血尿酸组分别降低60%(HR=0.40,95%CI:0.28-0.72)、52%(HR=0.48,95%CI:0.31-0.74)、55%(HR=0.45,95%CI:0.28-0.72)。随时间推移,Ilaris对血清尿酸水平没有影响,尽管它确实降低了高灵敏度C反应蛋白(hsCRP)。
之前的分析显示,与安慰剂相比,Ilaris也显著降低了严重心血管(CV)事件的风险。通过研究痛风耀斑和主要CV事件在各个基线血清尿酸组的发生率,研究人员证实了血清尿酸可作为痛风和心血管事件的风险标志物的相关性:安慰剂治疗的患者,痛风和主要不良CV事件发生率横跨基线血清尿酸分层组均升高;Ilaris治疗的患者,在低、中、高基线血清尿酸分层组,痛风耀斑发生率(每100病人年)分别为0.28、1.36、5.94,主要CV事件发生率(每100病人年)分别为4.1、5.3、5.6。


EULAR2018科学计划委员会主席Robert Landewé教授评论称,这些数据非常重要,因为它们增强了Ilaris在痛风患者中具有潜在预防作用的证据基础,这将有助于我们了解痛风、尿酸和心血管疾病之间的相互作用。
哈佛大学医学院教授Daniel Solomon表示,我们的研究结果表明,Ilaris在动脉粥样硬化患者中具有显著降低痛风发作风险的作用。此外,这些数据表明血清尿酸可同时作为痛风和心血管事件的一个风险标志物,但由于该药的作用机制,Ilaris对血清尿酸水平没有影响。
痛风是一种非常常见的疾病,是由尿酸(即尿酸盐)晶体在关节内沉积所致,这会导致炎症。痛风症状发生的周期时间称为耀斑(flares),这可能是不可预知的并且是致衰性的,通常持续几个小时,并造成严重的关节疼痛。
Ilaris是一种选择性、高亲和性、全人源化单克隆抗体,靶向抑制白细胞介素-1β(IL-1β),这是人体免疫系统防御的一个重要组成部分。IL-1β的过度产生在某些炎症性疾病中发挥着关键作用。Ilaris通过阻断IL-1β的作用并持续一段时间,从而抑制因过量产生造成的炎症。
目前,Ilaris已获批用于几种罕见的自身炎症性疾病。

以上图片为Ilaris(卡那单抗,canakinumab)在致泰药业实拍图
【适应症和用途】
●急性痛风性关节炎
●Cryopyrin-AssociatedPeriodicSyndromes(CAPS),适用于4岁及以上的成人和儿童,包括:-家族性感冒炎症综合征(FCAS)
-Muckle-Wells综合症(MWS)
●成人和儿童患者的肿瘤坏死因子受体相关周期综合征(TRAPS)。
●成人和儿科患者的高免疫球蛋白D综合征(HIDS)/甲羟戊酸激酶缺乏症(MKD)。
●成人和儿科患者的家族性地中海热(FMF)。
●2岁及以上患者的活动性系统性青少年特发性关节炎(SJIA)
【温馨提示】
ILARIS/CANAKINUMAB/卡那单抗/易来力目前尚未在中国大陆及亚太地区上市,海外客户如需要更多资讯,欢迎与致泰药业联络查询。香港致泰药业是经香港政府卫生署注册的药品批发商,专注于全球新特药品进出口业务。



